Stochastik 7. Klasse AHS

Lernpfad erstellt und betreut von:

Michael Perner

E-mail: perner.michael@gmx.at
Steckbrief
Kurs-Informationen
Ansicht mit Navigations-Frame
Lernpfadseite als User öffnen (Login)
Lernpfadseite bearbeiten (Autor)

Übersicht:       
Hilfe
1. Wahrscheinlichkeitsfunktionen und Erwartungswert
2. Binomialkoeffizient
3. Binomialverteilung
4. Literaturverzeichnis

Binomialkoeffizient
 
2.1 Aufgabenstellung
In diesem Kapitel sollt ihr euch den Binomialkoeffizienten selbständig erarbeiten.
Ihr könnt hierfür zu zweit arbeiten


Notiert euch die Ergebnisse im Heft
 
2.2 Binomialkoeffizient
http://www.mathe-online.at/materialien/Michael.Perner/files/PDF/
   BINOMILAKOEFFIZIENT.pdf

Zuerst möchte ich euch den Binomialkoeffizienten und dessen Bedeutung erklären.

Öffne dazu die Pdf Datei und lies dir alles genau durch und versuche die einzelnen Schritte zu verstehen
 
2.3 Üben des Binomialkoeffizienten
http://www.mathe-online.at/materialien/Michael.Perner/files/PDF2/
   Aufgaben_zum_Binomialkoeffizient.pdf

Öffnet nun die Pdf Datei und löst die Beispiele um das neue Wissen zu üben
 
2.4 Pascalsches Dreieck
http://www.mathe-online.at/mathint/var/i_Pascal.html


In diesem Teil sollt ihr neues Wissen über das Pascalsche Dreieck erlangen. Folgt dabei folgenden Aufgabenstellungen

1)
Informiert euch über das Pascalsche Dreieck. Nuzt dazu den oben angeführten Link

2)
Überlegt euch wie das Pascalsche Dreieck gebildet wird und schreibt es euch bis zur bis zur fünften Zeile auf

3)
Berechnet mit Hilfe des Pascalschen Dreiecks (a+b)4 und (a+b)5
Informiere dich dazu auf der Internetseite wie dir das Pascalsche Dreieck dabei helfen kann


Wenn ihr weitere Erklärungshilfe benötigt, könnt ihr auch folgendes Video öffnen. Sie hier!

Das Pascalsche Dreieck kann uns aber auch helfen den Binomilakoeffizient zu berechnen:

n über k entspricht genau der n-ten Zeile und der (k+1)-ten Spalte des Pascalschen Dreiecks
So ist z.B "4 über 2" = 6. Dies entsprcht der 4. Zeile und der 3. Spalte

4)
Prüfe mit Hilfe des Pascalschen Dreiecks selbst was "5 über 4" und "6 über 3" ist und schreibe das Ergebnis auf

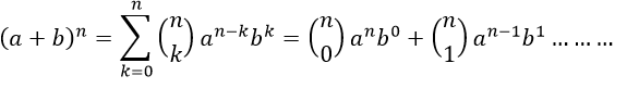
Dadurch lässt sich (a+b)n allgemein schreiben


 
2.5 Üben: Erwartungswert, Varianz und Binomialkoeffizient
http://www.mathe-online.at/materialien/Michael.Perner/files/
   Hot_Potato/Multiblechioce.htm


Zum Üben des Erwartungswertes, der Varianz und des Binomialkoeffizienten gibt es im Internet diesmal eine Multible-Choice Aufgabe. Öffne den Link und folge den Anweisungen
 
Lernpfadseite als User öffnen (Login)

Falls Sie noch kein registrierter User sind, können Sie sich einen neuen Zugang anlegen. Als registrierter User können Sie ein persönliches Lerntagebuch zu diesem Lernpfad anlegen.

 Zur Galerie
 Zu den Mathematischen Hintergründen
 Zum Lexikon
 Zu den interaktiven Tests
 Zu den Mathe-Links und Online-Werkzeugen
 Zur Welcome Page
   Übersicht über die Lernpfade
 Open Studio Materialien
 Open Studio Eingang
 Neuen Zugang anlegen
 Login