|
1.1 Zum Aufwärmen ein paar einfache Beispiele :)
|


|
Wiederholung, Übungsaufgaben, Heft
|
|
1.2 Rechenoperationen für Vektoren
|


|
Wie ist die Summe zweier Vektoren aus dem definiert, wie das Produkt einer reellen Zahl mit einem Vektor aus ?
Formuliere einen Merksatz für die Summe, Differenz und Vielfache von Vektoren aus !
Wiederholung, Heft
|
|
1.4 Beispiel
|


|
Eine kleine Firma muss zwei Angestellte bezahlen.
Der Vektor, der die Monatsgehälter der beiden angestllten angibt, sei G=(g1/g2).
a) Wie lautet der Vektor, der die monatlichen Gehälter angibt, wenn beide um 50€ pro Monat mehr als bisher verdienen?
b) Wie lautet der Vektor, der die monatlichen Gehälter angibt, wenn beide eine Gehaltserhöhung von 2% erhalten?
Übungsaufgabe, Heft
|
|
1.5 Rechengesetze für Vektoren
|


|
Hätten wir diese Aufgabe nicht einfacher lösen können?
Ja, denn wir hätten ja umformen können:
Diese Umformungen sind aber nur erlaubt, weil für Vektoren die gleichen Rechengesetze gelten, wie für die reellen Zahlen.
Deshalb dürfen wir mit Vektoren ähnlich wie mit reellen Zahlen rechnen.
Bevor wir uns jetzt aber einigen wichtigen Rechengesetzen für Vektoren widmen, zuerst noch zwei wichtige Definitionen:
Nun kommen wir schon zu den Rechengesetzen für Vektoren:
Lernstoff
|
|
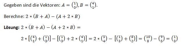
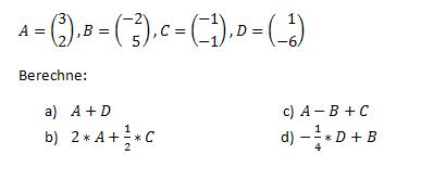
1.7 Übung macht dem Meister
|


|
Du kannst hier den Umgang mit den Rechengesetzen üben und denke daran, wenn möglich, die Aufgabe umzuformen. So ersparst du dir nämlich viele Rechenwege!

Übungsaufgaben, Heft
|
|
1.9 Beweise der Grundgesetze
|


|
Hier siehst du, wie das Kommutativgesetz der Addition beweisen wird.
Nun bist du an der Reihe: Beweise das Assoziativgesetz der Add. und das Distributivgesetz der Multipl.!
Vertiefung, Heft
|
Lernpfadseite als User öffnen (Login) Falls Sie noch kein registrierter User sind, können Sie sich einen neuen Zugang anlegen. Als registrierter User können Sie ein persönliches Lerntagebuch zu diesem Lernpfad anlegen.
|