|
5.1 Definition
|


|
Eine Matrix heißt vom Rang r, wenn sich mindestens eine r-reihige Unterdeterminante bilden lässt, deren Wert von null verschieden ist, aber alle (r+1)-reihigen Determinanten, die sich aus der Matrix bilden lassen, den Wert null haben.
|
|
5.2 Was ist eine Unterdeterminante?
|


|
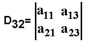
Streicht man in einer Determinante eine beliebige Zeile i und eine beliebige Spalte k, so nennt man die übrigbleibenden Elemente die Unterdeterminante D(ik)
Beispiel:
Gegeben sei eine dreireihige Determinante |A|:
Nun streichen wir eine Zeile i und eine Spalte k.
Als Beispiel streichen wir die 3. Zeile und die 2. Spalte:
Es bleiben vier Elemente übrig, die nicht gestrichen wurden. Diese vier Elemente bilden die sogenannte Unterdeterminante
Zu beachten:
Hat die Determinante n Reihen, so haben alle Unterdeterminanten n-1 Reihen.
Quelle
|
Lernpfadseite als User öffnen (Login) Falls Sie noch kein registrierter User sind, können Sie sich einen neuen Zugang anlegen. Als registrierter User können Sie ein persönliches Lerntagebuch zu diesem Lernpfad anlegen.
|