|
1.1 Differenzenquotient.
|


|
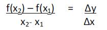
Wir beginnen mit einer Wiederholung des Differenzenquotienten.
In folgendem Dokument findest du eine kurze Zusammenfassung über den
Differenzenquotient. Wiederhole damit das wichtigste und frische dein
Wissen auf!
Wiederholung
|
|
1.2 Differentialquotient
|


|
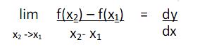
Weiter geht es mit dem Differentialquotienten.
Hier findest du ein Dokument, mit den wichtigsten Informationen zum
Differentialquotienten. Frische wieder dein Wissen auf! Besprich evtl. mit
deinem Nachbarn den Unterschied zwischen Differenzenquotient und Differentialquotient!
Wiederholung
|
|
1.3 Sekante & Tangente
|


|
Wenn also x2 an x1 angenähert wird, bzw. wenn Δx immer kleiner wird, geht die Sekante
durch die Punkte x1 und x2 in die Tangente durch den Punkt x1 über.
Mit den folgenden Links kannst du die Punkte x1 und x2 auf verschiedenen Funktionen
mit der Maus verschieben und so den Limes x1 -> x2 ‘per Hand‘ durchführen.
Probiere es bei den drei angegeben Funktionen aus!
f(x) = x²
f(x) = x³
f(x) = 1.5*sin(x)
Veranschaulichung
|
|
1.4 Rätsel der sphinx
|


|
Sphinxen sind seit je her die Hüter großer Weisheit. Sie lieben es, Reisende mit Fragen zu
verwirren. Stelle dich der Herausforderung der Sphinx und löse ihre Rätsel!
’Nun denn, Reisender, lass uns beginnen!‘
Übungsaufgabe
|
Lernpfadseite als User öffnen (Login) Falls Sie noch kein registrierter User sind, können Sie sich einen neuen Zugang anlegen. Als registrierter User können Sie ein persönliches Lerntagebuch zu diesem Lernpfad anlegen.
|